728x90
반응형
아래 내용은 Udemy에서 Pytorch: Deep Learning and Artificial Intelligence를 보고 정리한 내용이다.
Mean Squared Error
MSE :probabilistic perspective
helps prepare us for the cross-entropy loss
Error = Cost = Loss = Objective
Why is it Squared?
positive 값과 negative값이 있을 수 있기 때문에
MAE
MLE: Maximum Likelihood Estimation(MLE)
eg.: we model the heights of the students in our class as a Gaussian distribution (bell curve)

the "best" estimate for μ

minimizing is the sam as maximizing negative
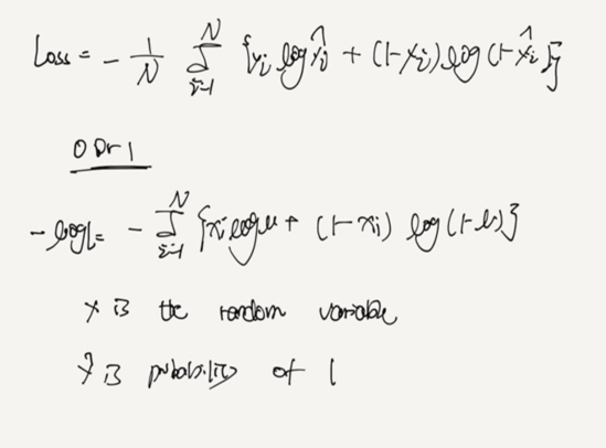
Binary Cross Entropy
binary classification
Regression: MES, Gaussian distrivution
Binary Classification: Binary Cross-Entropy , Bernoulli distribution

Categorical Cross Entropy

반응형
'교육동영상 > 02. pytorch: Deep Learning' 카테고리의 다른 글
| 16. Setting up your Environment (0) | 2021.01.14 |
|---|---|
| 15. In Depth: Gradient Descent (0) | 2021.01.13 |
| 13. VIP (0) | 2021.01.08 |
| 12. Stock Trading Project with Deep Reinforcement Learning (0) | 2021.01.06 |
| 10. Deep Reinforcement Learning (0) | 2021.01.04 |