728x90
반응형
Linear Regression의 cost 최소화 알고리즘의 원리
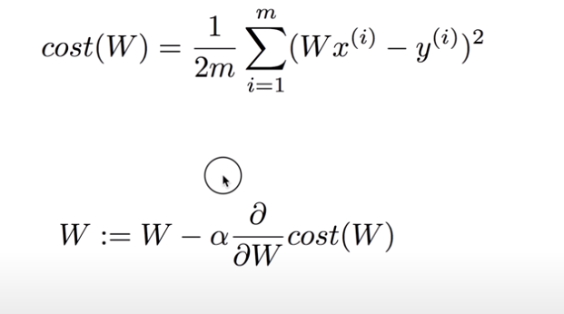
cost function minimize

데이터를 통해서 구한다.
b를 없에서 간단하게 가설한다.

ㅊ

최소화 되는 점을 찾는다.
Gradient Descent Algorithm
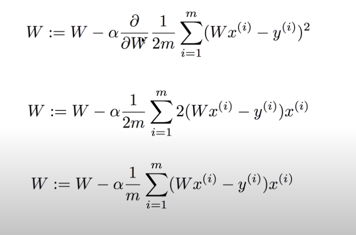
경사를 따라 내려가는 알고리즘이다.
W,b 계산해서 한다.
미분을 이용해서 계산한다.

미분을 쉽게 하기 위해서 숫자 2를 하였다.

상수
cost function 미분한다.
기울기를 구한다.
미분의 절차

Convex function : 밥 그릇 같은 형태
항상 답을 찾는 것을 고정해준다.
반응형
'Machine Learning > 머신러닝과 딥러닝 BASIC' 카테고리의 다른 글
| Softmax Regression (Multinomial Logistic Regression) (0) | 2021.07.03 |
|---|---|
| Logistic (Regression) Classification (0) | 2021.07.03 |
| 여러개의 입력(feature)의 Linear Regression (0) | 2021.07.01 |
| Linear Regression 의 개념 (0) | 2021.07.01 |
| 머신러닝의 개념과 용어 (0) | 2021.07.01 |